Kunci Jawaban
Kunci Jawaban Matematika Kelas 9 SMP Kurikulum Merdeka Halaman 29 30 31, Latihan B
Di bawah ini kunci jawaban Matematika Kelas 9 SMP Kurikulum Merdeka halaman 29 30 31, pada kegiatan siswa Latihan B.
-3x +2y 6
_______ = ____
5x + 7y + 3 7
2x + 5 1
_______ = ____
-y + 8 5
Jawaban:
Soal nomor 1
Benar
Soal nomor 2
Salah. Diberikan sistem persamaan
ax + by = c
px + qy = r
Jika ap a/p ≠ b/q , maka sistem persamaan linear dua variabel mempunyai tepat satu penyelesaian.
Soal nomor 3
Berikut ini pasangan yang tepat antara sistem persamaan dan grafiknya.

Soal nomor 4
Menyelesaikan sistem persamaan linear dengan menggunakan metode grafik.
a. x - y = 2
3x + y = 26
Untuk memudahkan dalam menggambar grafik, tentukan titik potong sumbu x dan sumbu y.


Gambar 1.8 merupakan grafik dari sistem persamaan linear
x - y = 2
3x + y = 26
Terlihat bahwa perkiraan titik potong kedua persamaan adalah (7, 5).
Untuk memastikan apakah (7, 5) merupakan titik potong dari sistem persamaan linear tersebut, periksa dengan memasukkan nilai x dan y ke dalam setiap persamaan.
Persamaan x - y = 2
7 - 5 = 2
2 = 2 (benar)
Persamaan 3x + y = 26
3(7) + 5 = 26
26 = 26 (benar)
Jadi penyelesaian dari sistem persamaan linear dua variabel
x - y = 2
3x + y = 26
adalah (7, 5)
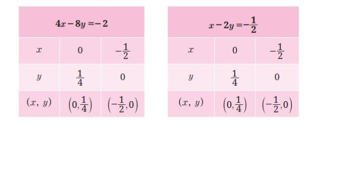
b. 4x - 8y = 2
x - 2y = - 1/2
Untuk memudahkan dalam menggambar grafik, tentukan titik potong sumbu x dan sumbu y.


Gambar 1.10 merupakan grafik dari sistem persamaan linear
4x - 8y = -2
x - 2y = - 1/2
Terlihat bahwa kedua garis berimpit, sistem persamaan linear dua variabel mempunyai banyak penyelesaian.
Soal nomor 5
Menyelesaikan sistem persamaan linear dengan menggunakan metode substitusi.
4x - 8y = 11 persamaan I
x + 5y = 1 persamaan II
Persamaan ke II x + 5y = 5 diubah menjadi x = -5y + 1. Substitusikan x = -5y + 1 ke persamaan ke I, diperoleh:
4 (- 5y + 1) - 8y = 11
-20y + 4 - 8y = 11
-28y + 4 = 11
-28 = 7
y = - 1/4
Substitusikan nilai y = - 1/4 ke x = -5y + 1 diperoleh nilai x = 2 1/4
Penyelesaian dari
4x - 8y = 11
x + 5y = 1
adalah (2 1/4, - 1/4).
Substitusikan persamaan I ke persamaan ke II, diperoleh:
2 (2y + 1) + 3y = -5
4y + 2 + 3y = -5
7y + 2 = -5
7y = -7
y = -7/7
y = -1
Substitusikan nilai y = -1 ke x = 2y + 1 diperoleh nilai x=-1.
Jadi penyelesaian dari
x = 2y + 1
2x + 3y = -5
adalah (-1,-1).
Soal nomor 6
Selesaikan sistem persamaan berikut dengan menggunakan metode eliminasi.
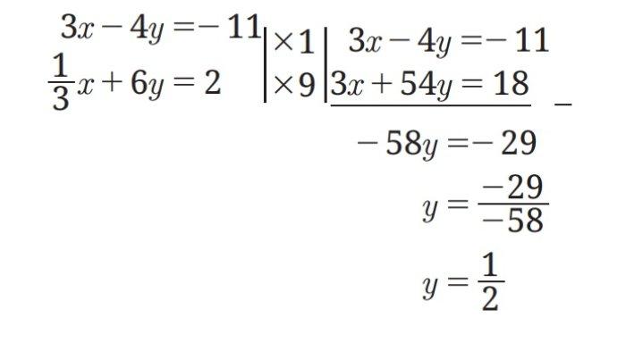
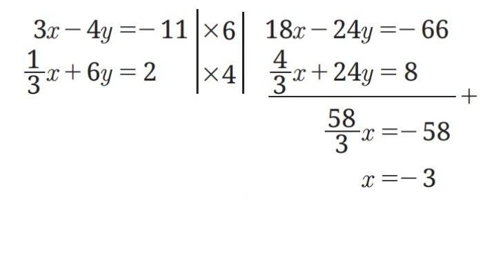
a. 3x - 4y = -11 persamaan I
1/3x + 6y = 2 persamaan II
Untuk mengeliminasi variabel x, persamaan I dikalikan dengan 1 dan persamaan II dikalikan dengan 9.

Untuk mengeliminasi variabel y, sehingga persamaan I dikalikan dengan 6 dan persamaan II dikalikan dengan 4.

Jadi penyelesaian dari
3x - 4y = -11
1/3x + 6y = 2
adalah (-3, 1/2)
b. 4x + 5y = -2 persamaan I
8x - 5y = 5 persamaan II
Untuk mengeliminasi variabel x, persamaan I dikalikan dengan 2 dan persamaan II dikalikan dengan 1.

Jadi penyelesaian dari
4x + 5y = -2
8x - 5y = 5
adalah (1/4, - 3/5)
Soal nomor 7
Menyelesaikan sistem persamaan linear dengan menggunakan metode campuran.
a. -2x + 5y = -49 persamaan I
4x - 6y = 70 persamaan II
Untuk mengeliminasi variabel x, persamaan I dikalikan dengan 2 dan persamaan II dikalikan dengan 1.

Jadi penyelesaian dari
-2x + 5y = -49
4x - 6y = 70
adalah (7, -7)
b. 2x - y = 3
13x + 11y = 9
Untuk mengeliminasi variabel y, persamaan I dikalikan dengan 11 dan persamaan II dikalikan dengan 1.

Jadi penyelesaian dari
2x - y = 3
13x + 11y = 9
adalah (1 1/5, - 3/5)
Soal nomor 8
Ingat jika diberikan sistem persamaan
ax + by = c
px + qy = r
dengan a/p = b/q ≠ cr maka sistem persamaan linear tersebut tidak memiliki penyelesaian.

Soal nomor 9
Misalkan x merupakan harga kue basung dan y merupakan harga kue mendut, maka diperoleh sistem persamaan sebagai berikut.
x + 3y = 13.500 persamaan I
2x + 5y = 24.000 persamaan II
Untuk mengeliminasi variabel x, persamaan I dikalikan dengan 2 dan persamaan II dikalikan dengan 1.

Jadi harga tiga kue mendut dan tujuh kue basung adalah Rp40.500,00.
Soal nomor 10
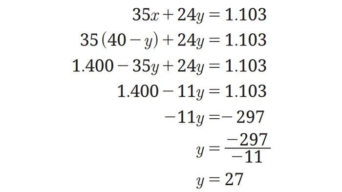
Misalkan x merupakan banyak kuas lukis jenis I dan y merupakan banyak kuas lukis jenis II, maka diperoleh sistem persamaan sebagai berikut.
x + y = 40
35.000x + 24.000y = 1.103.000
= x + y = 40 persamaan I
35x + 24y = 1.103 persamaan II
Persamaan I diubah menjadi x = 40 - y.
Substitusikan persamaan x = 40 - y ke persamaan II, diperoleh:

Substitusikan nilai y = 27 ke x = 40 - y diperoleh nilai x = 13.
Jadi banyak kuas lukis jenis I ada 13 buah dan banyak kuas lukis jenis II ada 27 buah.
Soal nomor 11
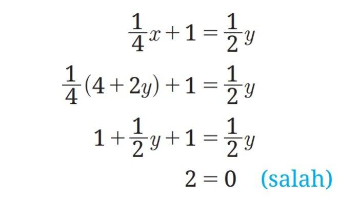
Tentukan bilangan pertama dan bilangan kedua. Misalkan x merupakan bilangan pertama dan y merupakan bilangan kedua, maka diperoleh sistem persamaan sebagai berikut.
1/4x + 1 = 1/2 y persamaan I
x = 4 + 2y persamaan II
Substitusikan persamaan II ke persamaan I, diperoleh:

Jadi tidak ada bilangan yang memenuhi teka-teki tersebut.
Soal nomor 12
Tentukan nilai xy jika diketahui sistem persamaan berikut.

Persamaan II diubah menjadi y = -10x - 17.
Substitusikan persamaan y = -10x - 17 ke persamaan I, diperoleh:

Substitusikan nilai x = -2 ke y = -10x - 17 diperoleh nilai y = 3.
Jadi nilai xy = -6.
Keterangan: (^) Berarti Pangkat, (/) berarti per atau se-per
Demikian kunci jawaban Matematika Kelas 9 SMP Kurikulum Merdeka halaman 29 30 31, kegiatan siswa Latihan B sesuai dengan buku Matematika edisi tahun 2022.
Disclaimer
Kunci jawaban diatas bersifat alternatif jawaban sehingga para siswa bisa memberikan eksplorasi jawaban lain.
Kunci jawaban soal diatas bisa saja berbeda sesuai dengan pemahaman tenaga pengajar atau murid. (*)
Isi komentar sepenuhnya adalah tanggung jawab pengguna dan diatur dalam UU ITE.