Kunci Jawaban
Kunci Jawaban Matematika Kelas 6 SD Kurikulum Merdeka Halaman 29, Ayo Berefleksi: Membagi Pecahan
Inilah kunci jawaban Matematika kelas 6 SD Kurikulum Merdeka halaman 29, kegiatan siswa Ayo Berefleksi: membagi pecahan.
TRIBUN-BALI.COM, DENPASAR – Ayo kita belajar bersama adik-adik! Inilah kunci jawaban Matematika kelas 6 SD Kurikulum Merdeka halaman 29, kegiatan siswa Ayo Berefleksi: membagi pecahan.
Kali ini akan membahas soal pada bab ke 1 yang berjudul Pecahan dan Desimal pada kegiatan siswa Ayo Berefleksi tentang membagi pecahan dengan bilangan asli.
Kunci jawaban di bawah ini diharapkan bisa membantu siswa sebagai alternatif jawaban untuk menyelesaikan soal pada halaman 29 di buku siswa Matematika kelas 6 Sekolah Dasar.
Berikut kunci jawaban dan pembahasan soal Matematika Kelas 6 Sekolah Dasar Kurikulum Merdeka halaman 29 sesuai dengan buku Matematika edisi tahun 2022.
Baca juga: Kunci Jawaban Matematika Kelas 9 SMP Kurikulum Merdeka Halaman 98 99 100, Ayo Mencoba 2.15
(Update Kunci Jawaban)
Kunci Jawaban Matematika Kelas 6 Halaman 29 Kurikulum Merdeka
Ayo Berefleksi
Dari aktivitas yang telah kalian lakukan pada subbab ini, jawablah pertanyaan berikut.
a. Bagaimana cara kalian membagi pecahan dengan bilangan asli?
Jawaban:
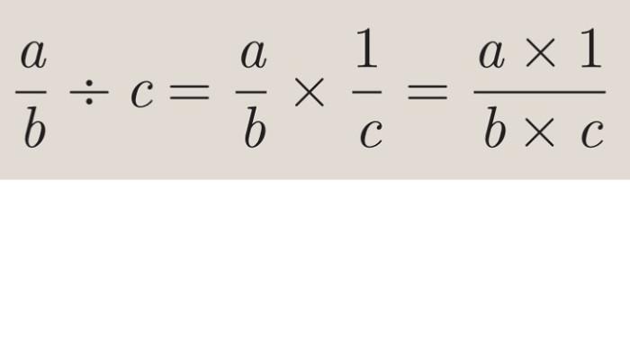
Untuk membagi pecahan dengan bilangan asli, kita menentukan terlebih dahulu bagian pecahannya lalu membagi bagian pecahan tersebut sebanyak bilangan asli.
Atau dapat dituliskan:
Baca juga: Kunci Jawaban Matematika Kelas 9 SMP Kurikulum Merdeka Halaman 95 96, Latihan D
b. Bagaimana cara kalian membagi bilangan asli dengan pecahan?
Jawaban:
Untuk membagi bilangan asli dengan pecahan, kita menentukan terlebih dahulu bagian bilangan asli lalu menentukan ada berapa banyak bagian yang menunjukkan bagian pecahan di dalamnya.

Isi komentar sepenuhnya adalah tanggung jawab pengguna dan diatur dalam UU ITE.