Kunci Jawaban
Kunci Jawaban Matematika Kelas 9 SMP Kurikulum Merdeka Halaman 155 156, Ayo Mencoba 3.5
Inilah kunci jawaban Matematika Kelas 9 SMP Kurikulum Merdeka halaman 155 156, pada kegiatan siswa Ayo Mencoba 3.5
TRIBUN-BALI.COM, DENPASAR – Inilah kunci jawaban Matematika Kelas 9 SMP Kurikulum Merdeka halaman 155 156, pada kegiatan siswa Ayo Mencoba 3.5.
Kali ini kita akan membahas soal pada bab 3 yang berjudul Transformasi Geometri pada kegiatan siswa Ayo Mencoba 3.5 tentang refleksi persamaan garis.
Berikut kunci jawaban dan pembahasan soal Matematika Kelas 9 SMP Kurikulum Merdeka halaman 155 156 sesuai dengan buku siswa Matematika edisi tahun 2022.
Baca juga: Kunci Jawaban Matematika Kelas 6 SD Kurikulum Merdeka Halaman 54 55, Latihan 2.1: Ayo Mencoba
Ayo Mencoba 3.5
Contoh 3.5
Refleksi Persamaan Garis
Tentukan bayangan dari garis y = 2x + 5 yang direfleksikan terhadap sumbu x!
Alternatif Penyelesaian
Untuk memperoleh hasil refleksi sumbu x dari garis y = 2x + 5, terlebih dahulu kita ambil dua buah titik yang melalui garis tersebut.

Baca juga: Kunci Jawaban Matematika Kelas 6 SD Kurikulum Merdeka Halaman 53, Bekerja Sama dan Berpikir Kritis
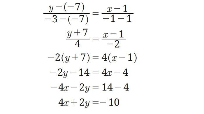
Berdasarkan Sifat 3.4.a, hasil refleksi titik (1,7) dan titik (-1,3) terhadap sumbu x adalah (1,-7) dan (-1,-3). Dengan menggunakan sifat persamaan garis lurus diperoleh:

Jadi, hasil refleksi persamaan garis y = 2x + 5 terhadap sumbu x adalah 4x + 2y = -10.
Baca juga: Kunci Jawaban Matematika Kelas 6 SD Kurikulum Merdeka Halaman 52, Eksplorasi 2.2: Ayo Bereksplorasi
Ayo Mencoba 3.5
Tentukan hasil refleksi dari persamaan garis y = 3x - 4 terhadap sumbu x!
Jawaban:
Untuk memperoleh hasil refleksi garis lurus y = 3x - 4 terhadap sumbu x, kita dapat mengambil terlebih dahulu dua buah titik pada garis tersebut.

Isi komentar sepenuhnya adalah tanggung jawab pengguna dan diatur dalam UU ITE.