Kunci Jawaban
Kunci Jawaban Matematika Kelas 6 Halaman 16 17 18, Kurikulum Merdeka: Pecahan dan Desimal
Berikut kunci Jawaban dan pembahasan soal mapel matematika kelas 6 SD halaman 16 17 18 Kurikulum Merdeka.
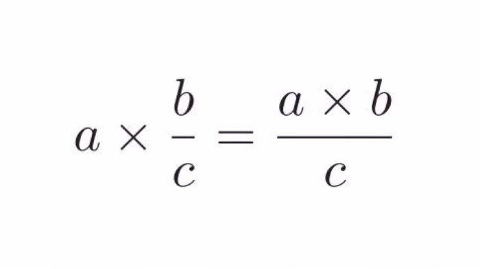
Mengalikan bilangan asli dengan pecahan berarti menggandakan banyaknya bagian pecahan sebanyak bilangan asli tersebut.
Dalam bentuk matematika dituliskan :

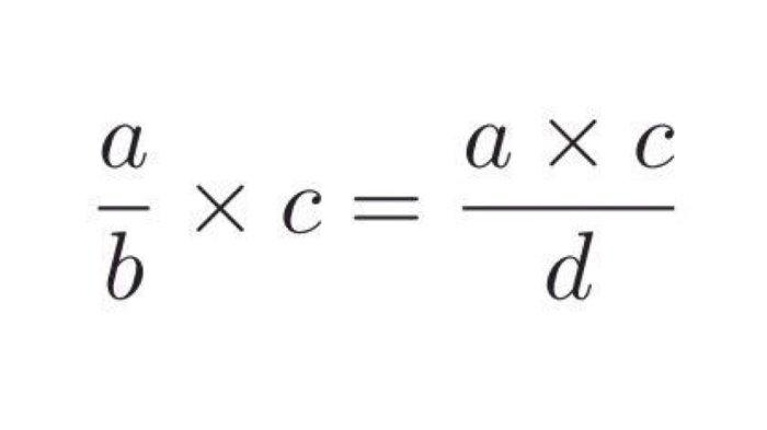
b. Bagaimana cara kalian mengalikan pecahan dengan bilangan asli?

Mengalikan pecahan dengan bilangan asli berarti kalian ingin mengetahui banyaknya bagian tertentu dari suatu kumpulan atau himpunan objek.
Baca juga: Kunci Jawaban Matematika Kelas 6 Halaman 4 6 8 9, Kurikulum Merdeka: Eksplorasi 1.1
Kunci Jawaban Matematika Kelas 6 Halaman 17 18
Ayo Mencoba
1. Urutkan bilangan bulat berikut dari yang terkecil hingga terbesar.
a. –13, –6, –10, 0, –7, 2, 5, –4
Kunci jawaban: -13, -10, -7, -6, -4, 0, 2, 5
b. 6, –4, –8, –10, 0, 2, –1, 4
Kunci jawaban: -10, -8, -4, -1, 0, 2, 4, 6
c. 8, –4, –1, 0, –5, 12, –10, 3
Kunci jawaban: -10, -5, -4, -1, 0, 3, 8, 12
d. 10, –5, 0, 1, –4, 5, 6, 2
Kunci jawaban: -5, -4, 0, 1, 2, 5, 6, 10
Kunci Jawaban Matematika Kelas 6 Halaman 16
Kunci Jawaban Matematika Kelas 6 Halaman 17
Kunci Jawaban Matematika Kelas 6 Halaman 18
kunci
Jawaban
pembahasan soal
Kurikulum Merdeka
matematika
kelas 6 SD
Kunci Jawaban Matematika Kelas 9 SMP Kurikulum Merdeka Halaman 24 25, Ayo Mencoba 1.6 |
![]() |
---|
Kunci Jawaban Matematika Kelas 9 SMP Kurikulum Merdeka Halaman 27 28, Ayo Mencoba 1.7 |
![]() |
---|
Kunci Jawaban Matematika Kelas 9 SMP Kurikulum Merdeka Halaman 23, Ayo Mencoba |
![]() |
---|
Kunci Jawaban Matematika Kelas 9 SMP Kurikulum Merdeka Halaman 19 20, Eksplorasi 1.4 |
![]() |
---|
Kunci Jawaban Agama Hindu Kelas 7 Semester 2 Kurikulum Merdeka Halaman 106 107 108, Mari Asesmen |
![]() |
---|
Isi komentar sepenuhnya adalah tanggung jawab pengguna dan diatur dalam UU ITE.