Kunci Jawaban
Kunci Jawaban Matematika Kelas 6 Halaman 30 31 32, Kurikulum Merdeka: Mengarsir Bagian Pecahan
Berikut kunci Jawaban dan pembahasan soal mapel matematika kelas 6 SD halaman 30 31 32 Kurikulum Merdeka.
TRIBUN-BALI.COM, DENPASAR - Berikut kunci Jawaban dan pembahasan soal mapel matematika kelas 6 SD halaman 30 31 32 Kurikulum Merdeka.
Kunci Jawaban Matematika Kelas 6 Halaman 30
Kunci Jawaban Matematika Kelas 6 Halaman 31
Kunci Jawaban Matematika Kelas 6 Halaman 32
Artikel ini akan memudahkanmu dalam mengerjakan soal-soal matematika.
Mengerjakan soal matematika SD tak sulit lagi dengan ulasan ini.
Baca juga: Jawaban Lembar Aktivitas 4, Kunci Jawaban IPS Kelas 8 Halaman 17 Kurikulum Merdeka
Berikut kunci jawaban yang berhasil dirangkum TribunBali.com dari berbagai sumber.
Pada bagian ini, membahas tentang soal Eksplorasi 1.5.
Simak ulasan selengkapnya di sini.
Kunci Jawaban Matematika Kelas 6 Halaman 30 31 32
Kunci Jawaban Matematika Kelas 6 Halaman 30
Ayo Berefleksi
Dari aktivitas yang telah kalian lakukan pada subbab ini, jawablah pertanyaan berikut.
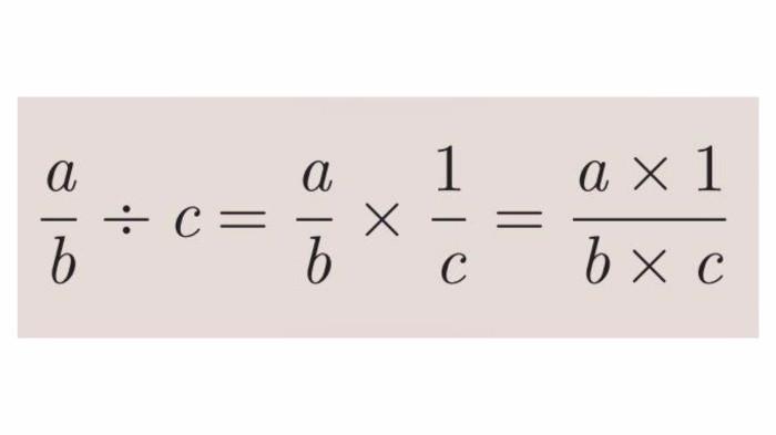
a. Bagaimana cara kalian membagi pecahan dengan bilangan asli?
Jawaban: Untuk membagi pecahan dengan bilangan asli, kita menentukan terlebih dahulu bagian pecahannya lalu membagi bagian pecahan tersebut sebanyak bilangan asli.
Atau dapat dituliskan:


Baca juga: Jawaban Lembar Aktivitas 3, Kunci Jawaban IPS Kelas 8 Halaman 12 13 Kurikulum Merdeka
Kunci Jawaban Matematika Kelas 6 Halaman 31
Eksplorasi 1.5
Kunci Jawaban Matematika Kelas 6 Halaman 30
Kunci Jawaban Matematika Kelas 6 Halaman 31
Kunci Jawaban Matematika Kelas 6 Halaman 32
kunci
Jawaban
pembahasan soal
Kurikulum Merdeka
kelas 6 SD
Kunci Jawaban Matematika Kelas 9 SMP Kurikulum Merdeka Halaman 24 25, Ayo Mencoba 1.6 |
![]() |
---|
Kunci Jawaban Matematika Kelas 9 SMP Kurikulum Merdeka Halaman 27 28, Ayo Mencoba 1.7 |
![]() |
---|
Kunci Jawaban Matematika Kelas 9 SMP Kurikulum Merdeka Halaman 23, Ayo Mencoba |
![]() |
---|
Kunci Jawaban Matematika Kelas 9 SMP Kurikulum Merdeka Halaman 19 20, Eksplorasi 1.4 |
![]() |
---|
Kunci Jawaban Agama Hindu Kelas 7 Semester 2 Kurikulum Merdeka Halaman 106 107 108, Mari Asesmen |
![]() |
---|
Isi komentar sepenuhnya adalah tanggung jawab pengguna dan diatur dalam UU ITE.