Kunci Jawaban
Kunci Jawaban Matematika Kelas 6 SD Kurikulum Merdeka Halaman 29, Ayo Berefleksi: Membagi Pecahan
Inilah kunci jawaban Matematika kelas 6 SD Kurikulum Merdeka halaman 29, kegiatan siswa Ayo Berefleksi: membagi pecahan.
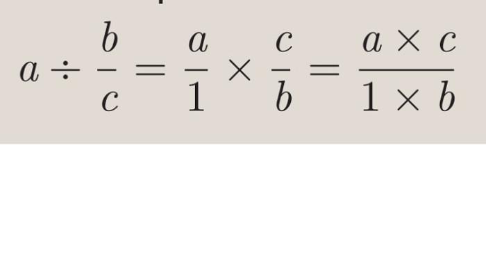
Atau dapat dituliskan:
Baca juga: Kunci Jawaban Matematika Kelas 9 SMP Kurikulum Merdeka Halaman 94, Ayo Mencoba 2.14
Untuk membagi pecahan dengan bilangan asli, ubahlah bilangan asli menjadi pecahan dengan penyebut 1, lalu ubah operasi pembagian menjadi perkalian dengan membalikkan (mencari kebalikan) pecahan kedua, kemudian kalikan pembilang dengan pembilang dan penyebut dengan penyebut.
Misalnya, untuk menghitung 1/2 : 3, pertama ubah 3 menjadi 3/1, lalu kalikan 1/2 dengan kebalikan 3/1 yaitu 1/3, sehingga menjadi (1 x 1) / (2 x 3) = 1/6.
Langkah-langkah Membagi Pecahan dengan Bilangan Asli
Ubah Bilangan Asli Menjadi Pecahan: Tuliskan bilangan asli tersebut sebagai pecahan dengan penyebut 1.
Contoh: 3 menjadi 3/1.
Ubah Operasi Pembagian Menjadi Perkalian: Ganti tanda bagi (÷) menjadi tanda kali (×) dan ambil kebalikan (invers) dari pecahan yang menjadi pembagi. Kebalikan pecahan adalah menukar posisi pembilang dan penyebutnya.
Contoh: 1/2 : 3 menjadi 1/2 : 3/1. Setelah dibalik, menjadi 1/2 × 1/3.
Kalikan Pembilang dengan Pembilang: Kalikan pembilang dari pecahan pertama dengan pembilang dari pecahan kedua (yang sudah dibalik).
Contoh: 1 × 1 = 1.
Kalikan Penyebut dengan Penyebut: Kalikan penyebut dari pecahan pertama dengan penyebut dari pecahan kedua (yang sudah dibalik).
Contoh: 2 × 3 = 6.
Tulis Hasil Akhir: Hasilnya adalah pecahan baru dengan pembilang hasil perkalian pembilang dan penyebut hasil perkalian penyebut.
Contoh: 1/6.
Contoh Lengkap

Isi komentar sepenuhnya adalah tanggung jawab pengguna dan diatur dalam UU ITE.