Kunci Jawaban
Jawaban Ayo Berefleksi, Kunci Jawaban Matematika Kelas 6 Halaman 16 Kurikulum Merdeka
Di bawah ini jawaban soal kegiatan siswa Ayo Berefleksi, kunci jawaban Matematika kelas 6 halaman 16 Kurikulum Merdeka.
TRIBUN-BALI.COM, DENPASAR – Di bawah ini jawaban soal kegiatan siswa Ayo Berefleksi, kunci jawaban Matematika kelas 6 halaman 16 Kurikulum Merdeka.
Kali ini kita akan membahas soal pada bab 1 yang berjudul Bilangan Cacah Sampai 100.000 sesuai dengan buku Matematika kelas 6 Kurikulum Merdeka edisi tahun 2022.
Jawaban Matematika Kelas 6 Halaman 16 Kurikulum Merdeka
Soal yang akan kita selesaikan adalah soal pada halaman 16 pada kegiatan siswa Ayo Berefleksi tentang mengalikan bilangan asli dengan pecahan.
Jawaban di bawah ini diharapkan bisa membantu siswa sebagai alternatif jawaban untuk menyelesaikan soal pada halaman 16 di buku siswa Matematika kelas 6.
Baca juga: Jawaban Ayo Berkomunikasi, Kunci Jawaban Matematika Kelas 6 Halaman 15 Kurikulum Merdeka
Ayo Berefleksi
Dari aktivitas yang telah kalian lakukan pada subbab ini, jawablah pertanyaan berikut.
a. Bagaimana cara kalian mengalikan bilangan asli dengan pecahan?
b. Bagaimana cara kalian mengalikan pecahan dengan bilangan asli?
Jawaban:
Alternatif jawaban
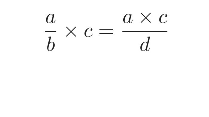
a. Bagaimana cara kalian mengalikan bilangan asli dengan pecahan?
Mengalikan bilangan asli dengan pecahan berarti menggandakan banyaknya bagian pecahan sebanyak bilangan asli tersebut. Dalam bentuk matematika dituliskan:
Baca juga: Jawaban Eksplorasi 1.2, Kunci Jawaban Matematika Kelas 6 Halaman 13 Kurikulum Merdeka
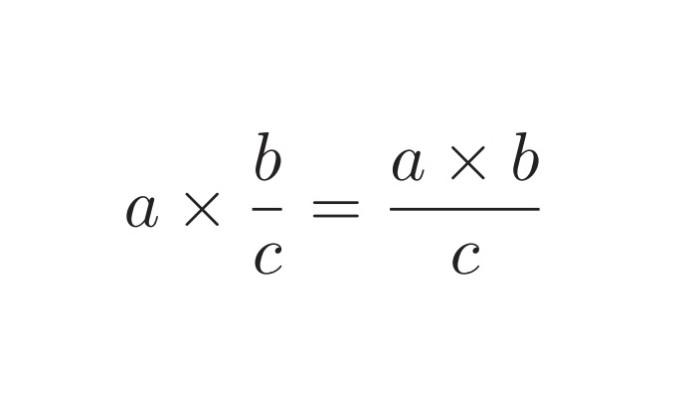
b. Bagaimana cara kalian mengalikan pecahan dengan bilangan asli?
Mengalikan pecahan dengan bilangan asli berarti kalian ingin mengetahui banyaknya bagian tertentu dari suatu kumpulan atau himpunan objek.
Baca juga: Jawaban Ayo Berpikir Kritis, Kunci Jawaban Matematika Kelas 6 Halaman 12 Kurikulum Merdeka

Isi komentar sepenuhnya adalah tanggung jawab pengguna dan diatur dalam UU ITE.