Kunci Jawaban
Kunci Jawaban Matematika Kelas 6 Semester 1 Kurikulum Merdeka Halaman 15, Ayo Berkomunikasi
Di bawah ini, kunci jawaban Matematika Kelas 6 Semester 1 Kurikulum Merdeka halaman 15, tentang Ayo Berkomunikasi.
Pada perkalian pecahan juga berlaku sifat komutatif seperti pada perkalian bilangan asli.
Mengalikan bilangan asli dengan pecahan berarti kalian menggandakan banyaknya bagian pecahan sebanyak bilangan asli tersebut.
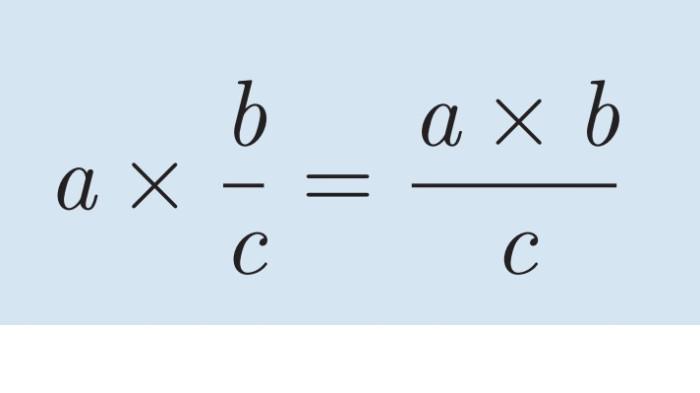
Jadi jika kalian akan mengalikan bilangan asli dengan pecahan sejati, maka kalikan bilangan asli dengan pembilang pecahan, kemudian biarkan penyebut pecahannya seperti semula.
Bentuk matematikanya dapat kalian tuliskan menjadi:
Baca juga: Kunci Jawaban Matematika Kelas 9 SMP Kurikulum Merdeka Halaman 235, Ayo Mencoba 4.4
a,b,c adalah bilangan asli dan c = 0
Keterangan: (/) berarti per atau se per; (^) berarti pangkat
Demikian kunci jawaban Matematika Kelas 6 Semester 1 Kurikulum Merdeka halaman 15, kegiatan siswa Ayo Berkomunikasi sesuai dengan Kurikulum Merdeka edisi 2022.
Disclaimer
Kunci jawaban diatas bersifat alternatif jawaban sehingga para siswa bisa memberikan eksplorasi jawaban lain.
Kunci jawaban soal diatas bisa saja berbeda sesuai dengan pemahaman tenaga pengajar atau murid. (*)

Isi komentar sepenuhnya adalah tanggung jawab pengguna dan diatur dalam UU ITE.